Корень ферулы тонкорассечённой




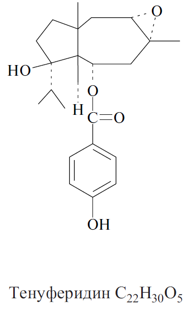
Корни Ферулы тонкорассечённой (лат. Fērula tenuisēcta) содержат такие сложные эфиры как ферутинин, тенуферидин, ферутин, теферин, фертидин. Которые обладают эстрогенной активностью.
Структурная формула


Показания к применению
Для лечения людей
У женщин: • Гипофункция яичников;
• Аменорея (первичная, вторичная),
• Олигоменорея,
• Дисфункциональная метроррагия - с целью гемостаза;
• Бесплодие, обусловленное ановуляцией;
• После операции рассечения внутриматочных синехий у больных с маточной формой аменореи;
• Климактерический синдром в период пременопаузы или менопаузы;
• Дисгенезия гонад и задержка полового созревания (половой инфантилизм),
• Синдром шерешевского-тернера;
• Маточные кровотечения.
У мужчин: • Простатит;
• Аденомы предстательной железы.
В ветеринарии:
• Для увеличения яйценоскости у кур.
• Для профилактики яловости у овец и крупного рогатого скота
Фармакологические свойства
В медицине
У женщин – эстрогенное средство.
Препарат оказывает эстрогенное действие, устраняя расстройства, вызванные недостаточностью функции яичников. Он стимулирует: Пролиферацию слизистой оболочки влагалища и эндометрия матки; Овуляционные процессы; Формирование вторичных женских половых признаков при их недоразвитии; Синтез и секрецию лютеинизирующего (ЛГ) и фолликулостимулирующего (ФСГ) гормонов в гипофизе; Улучшение состояния женщины в климактерическом периоде. Применяется при: Аменорее, олигоменорее и других нарушениях менструального цикла; Дисфункциональных маточных кровотечениях; Эндокринном бесплодии; Подготовке к родам и коррекции их патологического течения; Задержке полового развития у подростков. Благодаря низкой токсичности и мягкому терапевтическому эффекту, возможен длительный приём в сочетании с прогестогенами в рамках заместительной терапии.
У мужчин - антиандрогенное средство. Препарат: Избирательно воздействует на мужские половые органы; Уменьшает массу андрогензависимых органов (предстательная железа, семенные пузырьки, семенники); Подавляет секрецию тестостерона; Улучшает мочеиспускание, снижает частоту позывов; Обладает иммуностимулирующим и противовоспалительным действием. Препарат не оказывает раздражающего, аллергенного, иммунотоксического и мутагенного воздействия. По антипростатической активности превосходит препараты «Синэстрол» и «Простамол-Уно». Не влияет на центральную нервную систему, артериальное давление и дыхание. По острой токсичности относится к малотоксичным веществам.
В ветеринарии
Экстракт Ферулы тонкорассечённой ускоряет половое созревание кур, увеличивает массу яйцеводов и гребешков, способствует раннему началу яйцекладки и увеличению яйценоскости на 18%. Затраты кормов на 10 яиц снижаются на 20,3%. Также препарат используется для профилактики яловости у овец и крупного рогатого скота. В основе профилактики лежит выявление и устранение причин нарушения репродуктивной функции, а также лечебные мероприятия по восстановлению половых функций бесплодных животных.

связаться с нами


Контакты

Республика Узбекистан, г.Ташкент, Юнусабадский район, квартал 19, здание 4/5.

info@vivafito.uz

+998 90 3586335
+998 97 1568884